HOME > ◎データ分析 > ■データの分析(数A・数B)疑問点のお問い合わせやご注文などは、■御注文・お問い合わせの手順にしたがってadmin@K-Kyogoku.comへお願いします。最近はかなり頻繁に更新しているので、時々[再読み込み]を行ってください。
難関大入試対策「最強の良問集成(2025年版)」提供を開始しました。こちらへ

「保護されていない」って出てきたけど,大丈夫? 「保護されていない通信」

LinkIcon LinkIcon

■データの分析(数A・数B)

データ分析の基礎(数A)

この分野の問題は、2次試験での出題が少なく、センター試験の問題がかなり参考になると思います。以降、次のような問題を追加する予定です。

  • 与えられたデータをもとに平均値,分散,標準偏差などを問う問題
    (同志社大,立命館大,福岡大,南山大など)
  • 2つのグループを1つにまとめる(立命館大,福岡大など)
  • 1つのグループを2つに分ける問題(慶應義塾大)
  • 2次元のデータを扱う問題(奈良県立医大,産業医科大,一橋大)

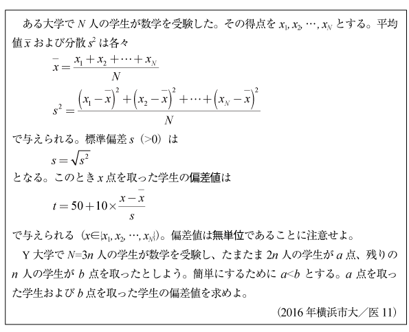
[A]データ分析のやさしい問題(2016年横浜市大/医11)

[B]データ分析のやさしい問題(2016年山梨大/医11)

[B]データ分析の問題(2016年慶應大/経済3)

[B]確率と期待値と分散の問題(2017年昭和大/医132)

共分散と相関係数(数B)

共分散と相関係数の解説は工事中です。
[B]共分散と相関係数の問題(2016年一橋大52)

[B]共分散と相関係数の問題(2015年一橋大52)