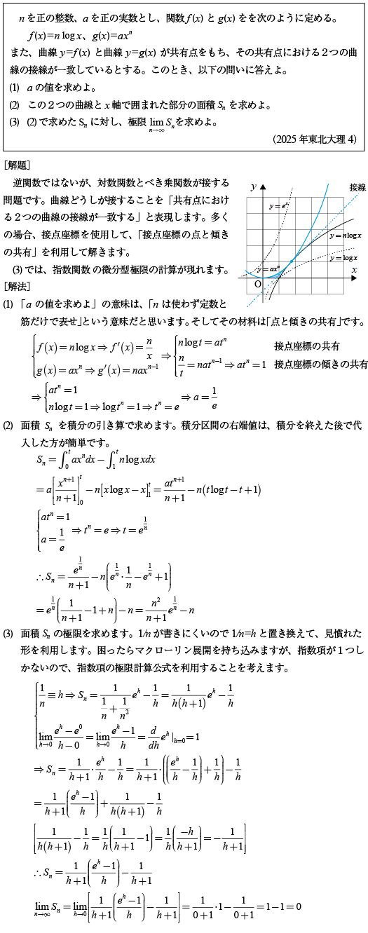
2025年東北大 理系第4問
[C]相接する対数関数とべき乗関数が囲む領域の面積の問題
(2025年東北大理4)

疑問点のお問い合わせやご注文などは、■御注文・お問い合わせの手順にしたがってadmin@K-Kyogoku.comへお願いします。最近はかなり頻繁に更新しているので、時々[再読み込み]を行ってください。
難関大入試対策「最強の良問集成(2025年版)」提供を開始しました。こちらへ
「保護されていない」って出てきたけど,大丈夫? 「保護されていない通信」
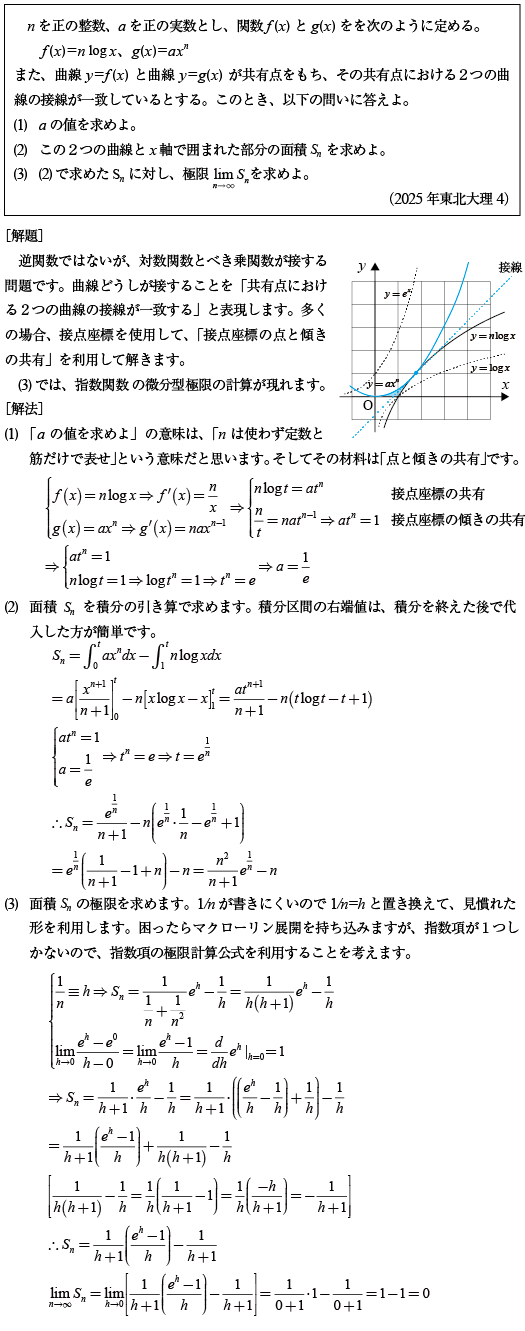
[C]相接する対数関数とべき乗関数が囲む領域の面積の問題
(2025年東北大理4)
