■行列と1次変換(旧課程数C)
本稿では、2014年以降は出題されなくなった、行列と行列式について、簡単に解説しておきます。
●行列問題
高校数学の行列問題では、「ケーリー・ハミルトンの定理」(ハミルトン・ケーリーの定理)が最重要です。行列問題で最多出題は2×2行列のn乗に関する問題ですが、その大半の問題にはこのケーリー・ハミルトンの定理が適用できます。
まずは2乗して零行列になる行列の条件です。
[例題]
●行列のn乗の計算方法
これには次のようにいくつかの方法があります。入試問題には大なり小なりこの計算が登場し、場合によっては組み合わせて用いられます。
- 何乗かすると単位行列になる行列を利用する。
- ケーリー・ハミルトンの定理を利用する。
- 漸化式を利用する。
- 回転行列に帰着させる。
- 最初の数例を実際に計算してn乗を予想し,数学的帰納法を利用する。
- 行列の対角化を利用する。
- スペクトル分解を利用する。
[入試問題]
(1) 何乗かすると単位行列になる行列を利用する。
[B]行列のn乗を計算する問題(2012年横浜市大/医14)
(2) ケーリー・ハミルトンの定理を利用する。
[B]行列の多項式の問題(2007年京大文系11)
[C]行列の計算問題(2014年昭和大/医133)
[C]5乗してEになる行列の行列式とトレースを求める問題(2013年東工大2)
(3) 漸化式を利用する。
[C]行列の積の極限の問題(2012年順天堂大/医14)
(4) 回転行列に帰着させる。
[B]行列のn乗の問題(2014年日大/医18)
[C]n乗行列の部分和の問題(2014年横浜市大/医13)
(5) 最初の数例を実際に計算してn乗を予想し,数学的帰納法を利用する。
(6) 行列の対角化を利用する。
(7) スペクトル分解を利用する。
[B]スペクトル分解による行列のn乗の問題(2013年日本医科大1)
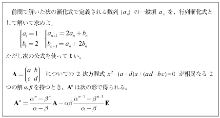
●行列の漸化式の問題
[例題]
[入試問題]
[D]行列漸化式を解く問題(2005年京大後期3)
[C]行列が定める漸化式の問題(2012年東京医科歯科大1)
[C]行列漸化式を解く問題(2014年北里大/医2)
2014北里大/医2Q.gif


