■微積分の数列・漸化式の問題
■積分数列の問題
[C]指数関数の積分数列の問題(2004年高知大/理系)
[C]指数関数の積分数列の問題(2006年早大/理工1)
[D]積分数列の難問(2014年昭和大/医141)
■積分漸化式の問題
積分の漸化式には、ウォリス積分の漸化式など、いくつか定型パターンの問題があります。「関数のn乗の積分」を求めるものであり、入試問題に出題される問題のほとんどすべては部分積分を繰り返して漸化式を作ります。主な積分漸化式の不定積分を例題に集めました。入試問題はこれらの定積分であり、これらの計算には習熟しておかねばなりません。
[例題]
次の公式のいくつかは部分積分を繰り返して作られます。先頭の2つは定積分ではウォリスの積分と呼ばれます。
[入試問題]
[B]積分漸化式の典型問題(2004東京電機大4)
[B]積分漸化式の応用問題(2019年千葉大/医11)
[B]積分漸化式の極限の問題(2000年京大理5)
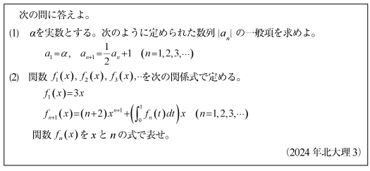
[B]積分漸化式の問題(2024年北大理3)
[C]積分漸化式の有名問題(ウォリスの公式)
[C]積分漸化式のやや複雑な問題(2018年慶応大/理工3)
[C]対数積分の級数表示の問題(2016年横浜市大/医14)
[D]対数積分漸化式の不等式の証明問題(2005年東工大1)
[参考問題]
[B]積分漸化式の応用問題(2014年関西学院大理工4)
[C]三角関数の積分漸化式の問題(2012年埼玉大/理工4)
■微分漸化式の問題
微分漸化式と呼べる問題は少なく、例を挙げれば、チェビシェフの多項式を生み出すチェビシェフの微分方程式くらいなのではないでしょうか。
いかにそれに近い問題を2題紹介します。ただし積分漸化式ほどに複雑ではない、比較的単純な問題になります。
[B]対数関数の導関数の係数にかかわる漸化式の問題(2005年東大理科1)
[C]高次導関数と二項係数の問題(2013年横浜市大/医2)

■積分不等式問題
