●数列の応用問題
●分数列の和を求める
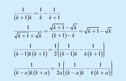
一般項がわかっていて、その数列の和を求める問題がよく出題されますが、慣れておかなければいけないのは分数の和です。分母が因数分解できる場合は部分分数に分解できて、その和は容易に計算できます。
頻出する部分分数分解の公式は次の通りです。「分母が小さいものから分母が大きなものを差し引く」と覚えます。
[A]階差数列・分数数列の計算問題(2011年立命館大文系13)
基礎的小問群の1つが上に示した分数列です。
[B]分数数列の応用問題(2002年一橋大後期3)
[B]3項の分数数列の和の問題(2017年昭和大/医142)
[B]数列の対数の差分から数列の部分和を求める問題(2003年京大理1)
[B]無理分数数列の総和を有理数化する問題(2025年横浜市大/医14)
●数列の最大値を求める
数列は不連続な自然数に対応しているので、最大・最小の評価に微分は使えず、隣接項間の比を評価します。この場合、最大・最小の項は1つではなく2つ以上のこともあります。
[A]数列の最大値を与えるnを求める問題(2015年日大/医23)
[B]組合せ記号に関する整数問題(2018年東大文科2)
[C]複雑な数列の最大値を求める問題(2019年東工大5)
●図形・2次曲線と数列の問題
[B]放物線上に頂点を持つ三角形の面積の級数の問題(2009年阪大理系1)
[C]双曲線とその漸近線上の点からなる直角三角形の面積の問題(2015年千葉大/医9)
[C]直線に関する点の対称移動の繰り返しの問題(2025年早大/商2) 
●三角関数列の和を求める
三角関数列も他の数列と同じですが、三角関数独特のルールが追加されます。
[B]三角関数数列の応用問題(2011年津田塾大/学芸/数学2)
[B]自然数と三角関数の数列の問題(2015年一橋大51)
[B]三角関数数列の問題(2008年九大文系1)
[B]三角関数数列の問題(2018年東京医科大3)
[C]単位円上の数列の問題(2018年早大/商3)
[D]三角関数の級数の問題(2017年横浜市大/医2)
●新記号問題
もっともポピュラーな新記号問題はガウス記号でしょう。これは[x]で「xを超えない最大の整数」を表します。これは、整数問題でも述べましたが、「ふつうの数との関連をどう表すか」が課題です。ガウス記号はすべて、整数問題の一種として[5]ガウス記号などの新記号問題で解説します。
●数列の不等式証明問題
[B]数列が満たす不等式の問題(2013年大阪府立大学/理工2)
[B]n次の相加平均≧相乗平均を証明する問題(2012年神戸大文系3)
[B]回文数を数える数列の問題(2025年横浜市大/医2) 
[C]数列の難問(2015年慶應大/環境情報5)
[D]無限級数の和を計算する難問(2019年筑波大/医3)
[D]指数型漸化式に関する不等式の証明問題 (2013年京大理系2)
[D]数列の難問(2017年東京医科歯科大1)
●平面分割・空間分割の問題
[B]直線による平面分割の問題(2019年横浜市大/医3)
[D]空間分割数の難問(2019年東工大4)

●確率数列の問題
