2000年東大数学入試問題
文科第1問
[B]直円錐台の体積の和の最大値を求めるやさしい問題(2000年東大文1理1)
文科第2問
[D]2変数関数が正値を返すab平面領域の図示の問題(2000年東大文科2)
文科第3問
[B]正四面体の頂点を移動する確率漸化式の問題(2000年東大文科3)
文科第4問・理科第2問
[C]2つの複素数が円上にあることを示す問題(2000年東大文4理2)
理科第1問
[B]直角二等辺三角形に内接する楕円の面積の最大値の問題(2000年東大理1)
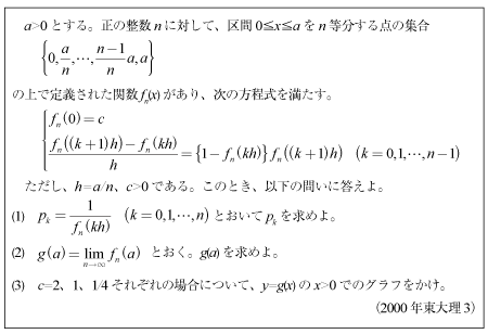
理科第3問
[B]差分方程式から指数関数を導く問題(2000年東大理科3)
理科第4問
[C]三角関数を含む方程式をグラフを使って解く問題(2000年東大理科4)
理科第5問
[D]どの2つの桁の数字の和も9にならない4桁の自然数の問題(2000年東大理科5)
理科第6問
[D]断面が台形の立体の体積を求める難問(2000年東大理科6)


